Esta web utiliza cookies propias y de terceros para ofrecerte una mejor experiencia y servicio. Al navegar o utilizar nuestros servicios, aceptas el uso que hacemos de ellas. Puedes cambiar la configuración de cookies en tu navegador en cualquier momento... Más información Cerrar
En la actualidad se observa un importante aumento en la demanda de datos medioambientales fiables. Esta mayor demanda no sólo proviene del ámbito de la investigación científica, sino que cada vez existe una mayor demanda de otros sectores socio-económicos.
A los sectores tradicionalmente demandantes de este tipo de información, como pueden ser la pesca y el transporte de mercancías y pasajeros, se han unido en los últimos tiempos otros centrados en el desarrollo de las energías renovables, compañías aseguradoras (con necesidad de bases de datos fiables para la evaluación de la vulnerabilidad y el riesgo climático), empresas constructoras y de ingeniería civil (necesidad de datos fiables, principalmente extremales, para su uso como condiciones de diseño), sector turístico (optimización de los emplazamientos recreativos y sus posibles usos), etc... los cuales necesitan para el correcto desarrollo de sus actividades bases de datos medioambientales fiables.
Desde el punto de vista de la ingeniería de costas y puertos, el análisis que realiza SandS de esta información se centra en estos tres ámbitos:
Las principales variables ambientales y geofísicas que condicionan el medio oceanográfico son: el oleaje, el viento, el nivel del mar, el sedimento, la salinidad y la calidad del agua.
El análisis de estas variables ambientales y geofísicas resulta un paso fundamental con el que se logran establecer las bases científicas necesarias sobre las que se aplica las diferentes metodologías desarrolladas para el tratamiento de los datos. El origen de estas variables puede ser empírico, a través de datos instrumentales (boyas, satélites, radar,...), o numérico, obtenido mediante el empleo de robustos modelos numéricos de reanálisis.
Mediante el exhaustivo análisis del conjunto de estas variables es posible caracterizar el oleaje y sus efectos a través de una serie de parámetros, entre los que destacan:
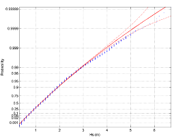
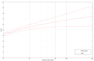
Los regímenes medio y extremal del oleaje se obtienen a partir del análisis estadístico de parámetros de estado de mar mediante los cuales se obtienen importantes valores de diseño. Para su correcta obtención es necesario disponer de series de datos con una extensión temporal media-corta (5 a 10 años) para el régimen medio y larga (20 a 30 años) para el régimen extremal.

Debido a la variación de la intensidad de los forzamientos que generan el oleaje a lo largo del año, éste muestra también variacio- nes interanuales
reflejadas en los valores de sus parámetros de estado de mar. Este fenómeno recibe el nombre de estacionalidad del oleaje.
Para su correcta obtención es necesario disponer de series largas de datos (40 años o más).
El régimen de persistencias describe las rachas o periodos continuados de situaciones en las que un determinado parámetro supera un cierto valor umbral. Normalmente el parámetro estudiado corresponde al valor de la altura de ola significante (Hs). Para su determinación es necesario disponer de series medias de datos (de 10 a 20 años).